光纤如何工作:是什么让光留在光纤中?-科兰
如今,高速光纤连接彻底改变了我们的生活、工作和沟通方式。全球对带宽和系统可靠性不断增长的需求推动了超大规模技术的不断采用,可扩展的全光纤网络可在高峰需求时促进无缝数据流。在深入研究光纤原理之前,我们先简要介绍一下从传统铜基基础设施过渡到现代光纤技术的优势。
与传统铜缆的数据传输速度相比,光纤布线可提供更高的传输速度。当然,这还是光纤全部优势。与传统的铜布线不同,光纤以光而非电的形式传输数据,从而最大限度地减少紧凑布线管道和高密度网络中的热量问题。此外,单根光纤可以将信号传输超过100 公里以上,而铜缆中的信号衰减则发生在100米左右。
毫无疑问,光纤技术是未来高速、低延迟、超连接世界的支柱。为了解释光纤的工作原理,并确定是什么使光留在光纤中,本文将简要介绍光纤技术的基本特征,汇集了相关的因素、过程和支撑互补技术的科学原理,这些互补技术推动了光纤连接的未来前景。
光缆:结构和组成
光纤电缆由三个关键部件组成。一是载光核心,接下来是包层,最后是保护性外涂层(也称为护套)。光纤电缆的每个组件(或圆柱形层)在数据作为光信号的有效传播中都有特定的用途。理解折射、折射率和全内反射等术语有助于弄明白光纤中使用的材料的功能和用途。
光缆结构:
核心
光信号穿过核心。核心由高度纯化的二氧化硅 (SiO2) 和极少量的“掺杂剂”(例如锗)组成,添加这些“掺杂剂”是为了调整折射率以获得最佳的光传输。不同直径的芯可用于不同的用途。例如,相对较窄的单模光纤直径(通常约为 8-10 微米)将传输限制在单一、集中的路径上,有助于保持长距离信号保真度。或者,短距离(例如,在建筑物内或校园内)承载各种光信号的多模光纤需要 50+ 微米的直径。
无论是单模还是多模,纤芯相对于包层较高的折射率是实现全内反射的一个因素。
包层
包层围绕核心。双包层和三包层光纤服务于专门的高功率应用(例如工业激光系统)标准,而单包层光纤电缆则服务于电信和数据网络等日常应用。包层的主要目的是将光限制在纤芯内。这是通过提供较低的折射率来实现全内反射来实现的。
外层(或外套)
外层不直接与穿过芯的光相互作用。相反,外层提供机械强度和物理保护,防止可能降低光纤内部材料折射率的环境因素。这些因素包括与天气相关的进水和极端温度,以及安装和移动过程中的拉动、弯曲和扭曲。这样,坚固的电缆护套有助于确保高效可靠的光传输。
为了更好地理解光如何在光纤中停留,我们必须开始将全内反射、临界角和折射率的关键概念联系起来。
什么是折射?
折射描述了光穿过不同密度的介质时方向的变化。例如,考虑用手电筒照射装满水的大玻璃碗。由于与照射到下方密度较大的水中的光相比,通过相对密度较小的空气观察到水线上方的光,因此光路的角度在进入点处似乎发生了变化。当光穿过不同密度的介质时,光的方向发生变化称为折射(参见下面的斯涅尔定律)。
什么是折射率?
继续用手电筒照进水中的例子,我们可能会问这样的问题:“光总是以相同的角度折射吗?”答案是否定的。光根据折射率以可计算的角度折射。通过了解例如水和空气的折射率,可以将决定折射角的光学参数输入到一个方程中,该方程显示了室温下预期折射的精确角度(在某些情况下,极端温度会影响介质密度)必须考虑)。
折射率与纤芯和包层有何关系?
从密度较大的介质移动到密度较小的介质的光会偏离“法线”(即,在进入点垂直于两种介质之间的界面的假想线)。回到手电筒的例子,我们可能会考虑将手电筒浸入水中,这样光线现在必须从密度较大的水中传播到密度较小的空气中,模拟光穿过核心并进入包层的情况。操纵手电筒的光束角超过“临界角”会将光线反射到水中。同样,穿过纤芯的光的角度必须超过临界角,而包层必须提供比纤芯更低的折射率。
临界角和全内反射
光以超过临界角的角度从较致密的介质传播到较不致密的介质时将经历全内反射。这是光反射到密度较大的主要介质中并且不会进入密度较低的次要介质的地方。了解折射、折射率、临界角和全内反射的原理使工程师能够选择纤芯和包层材料以获得最佳光纤性能。
斯涅尔定律:了解折射
支持可靠的现代光纤传输的科学原理可以追溯到 1621 年,当时荷兰天文学家和数学家Willebrord Snellius首次演示并推广了折射定律的方程。然而,著名的历史数学家此前曾提出过自己的折射理论,值得在此提及,其中包括大约生活在公元 100-170 年之间的古希腊托勒密,以及可能在 984 年证明了该方程的波斯科学家伊本·萨尔 (Ibn Sahl) 。
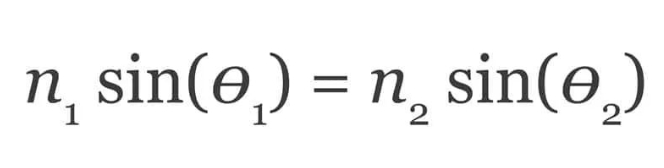
斯涅尔定律:
解释: 斯涅尔定律准确地确定了光在折射率已知的介质之间传播时发生的折射角。以下是方程中所表示的数学成分的简单细分:
n1—— 第一介质的折射率
n2—— 第二介质的折射率
θ1—— 入射角(即,光源角度与垂直于连接两种介质交点处的平面绘制的假想线之间存在的可测量角度)
θ2—— 折射角(即,进入第二介质的折射光与垂直于在交点处连接两种介质的平面绘制的假想线之间存在的可测量角度)
sin 是“ sine”的缩写,是三角函数,用于将入射角和折射角与适当介质的各自折射率联系起来。更简单地说,sin 有助于计算一致的角度关系和波前行为,以及跨电信、成像系统和任何需要准确预测光行为的科学仪器的工程应用。
由于光纤技术在高效传输大量数据方面具有高带宽、无与伦比的速度和性能可靠性,因此被广泛应用于许多常见应用中。例如,光纤连接支撑着高速互联网、电话网络、基于云的服务和移动通信。展望未来,对数据不断增长的需求将推动我们如何将光纤解决方案融入互联社会的更大创新和进步。


